Veřejná zakázka: Multimediální vybavení dvou učeben

Informace o veřejné zakázce

fáze zadávacího řízení Zadáno
Zakázka byla zadána.
DBID: 203
Systémové číslo: P13V00000068
Počátek běhu lhůt: 03.06.2013
Nabídku podat do: 03.06.2013 09:00

Název, druh veřejné zakázky a popis předmětu

  • Název: Multimediální vybavení dvou učeben
  • Druh veřejné zakázky: Dodávky

Stručný popis předmětu:
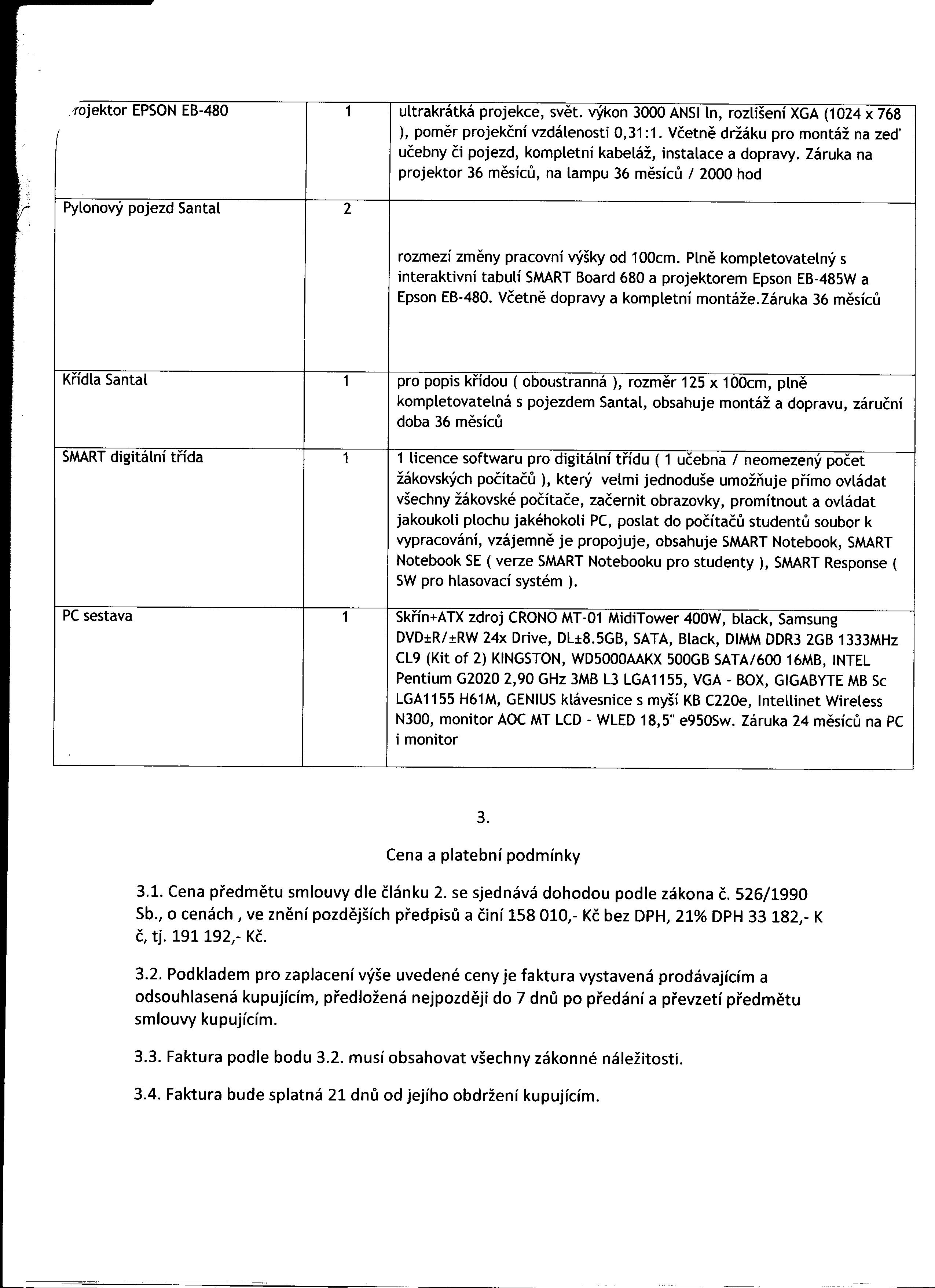
dodání dvou kusů interaktivních tabulí, dvou dataprojektorů, PC sestavy, programového vybavení včetně dopravy a montáže

Postup zadání, předpokládaná hodnota

  • Postup: VZMR – uveřejnění výsledku po podpisu smlouvy
  • Režim veřejné zakázky: VZ malého rozsahu
  • Předpokládaná hodnota: 158 010 Kč bez DPH

Zadavatel

  • Úřední název: Město Nový Bor
  • IČO: 00260771
  • Poštovní adresa:
    nám. Míru 1
    47301 Nový Bor
  • Id profilu zadavatele ve VVZ: 345147

Adresa kontaktního místa

Nabídky, resp. žádosti o účast podávat na:
nám. Míru 1
473 01 Nový Bor

Položky předmětu (CPV)

Zadávací dokumentace

Veřejné dokumenty

Formuláře

URL odkazy

Plnění smlouvy na základě veřejné zakázky